中金缪延亮:美元陷阱的形成与突破——读埃斯瓦尔·S. 普拉萨德《美元陷阱》
缪延亮 中金点睛
摘要
2025年4月2日以来,美国一系列激进的政策——包括推行所谓“对等关税”、通过高赤字风险的“大而美”法案,并屡次干预美联储的独立性——导致美国金融市场一度出现股债汇“三杀”,并带来美元的持续贬值。这些政策是否会动摇美元、美债乃至国际货币体系的根基?
对美元体系是否可持续的质疑并非第一次。2013年,美国康奈尔大学经济学教授埃斯瓦尔·S. 普拉萨德就在其著作《美元陷阱》中探讨过这个问题。所谓“美元陷阱”,是指新兴市场国家因持有巨额美元资产,其购买力持续受损却无法脱身的困境。作者[1]认为,新兴市场持有外储的必要性、美元作为安全资产的唯一性、以及缺乏替代安全资产,是“美元陷阱”牢不可破的三个逻辑支点。
2025年6月,普拉萨德教授在上海与笔者对话时,再次强调了他的观点,即美元地位依然无可替代,“美元陷阱”依然牢固。笔者则认为,2025年以来,“美元陷阱”的三个逻辑支点都有重要甚至本质的动摇,突破“美元陷阱”成为可能。
Text
正文
一、“美元陷阱”的形成
普拉萨德教授认为,“美元陷阱”之所以牢不可破,有三个逻辑支柱。一是新兴经济体在出口导向的发展模式及自我保险的强烈需求下,必须持有大量外汇储备;二是美债市场凭借其卓越的信用等级、市场深度与流动性,成为全球外汇储备主要的“安全港”(Safe Haven);三是,全球范围内缺乏可与美国国债相匹敌的替代性安全资产,即“别无选择”(There is no alternative,TINA)的格局。
(一)新兴国家积累外储的必要性
普拉萨德教授由“卢卡斯之谜”切入。1995年诺贝尔经济学奖获得者罗伯特·J. 卢卡斯曾提出著名的“卢卡斯之谜”(又称“资本逆流之谜”)。理论上,新兴市场经济体资本积累较少,资本边际产出较高,因此资本应从发达经济体流向新兴市场国家。但现实中,发达经济体整体上存在经常账户逆差,是资本净输入国;而新兴经济体反而整体上保有经常账户盈余,成为资本净流出国。
解开“卢卡斯之谜”的关键,在于区分私人资本和官方资本。事实上,私人资本的流动方向与理论预测一致,确实是从资本富裕的发达国家流向资本欠缺的新兴市场。问题出在官方资本上:新兴市场国家的央行为了管理汇率,大规模增持了发达国家的国债,主要是美债。其规模之大,甚至超过了私人资本的顺向流动,从而在总体上表现为更大规模的资本逆流,即从缺少资本的新兴市场净流入发达国家。
从数据来看,2000-2013年间,全球外汇储备增长了五倍多,达到11.7万亿美元,其中新兴市场国家的占比由37.5%跃升至67.2%,成为主导力量。
如果说资本逆流是由央行积累外汇储备导致,那么央行为什么要持有外汇储呢?动机有二。其一,外汇储备本身就是目的,通过贸易顺差积累美元硬通货,即所谓的“新重商主义”,这是相对于传统重商主义以积累黄金为目的而言。[2]其二,这是维护外汇市场稳定的“自我保险”工具。
这两种目的或许很难严格区分开来。“新重商主义”意在通过维持一个相对稳定甚至被低估的汇率,来提升本国出口商品在国际市场上的价格竞争力,从而积累美元财富。在参与全球竞争的过程中,新兴国家吸引外资并逐步开放资本账户,常常伴随着资本“大进大出”的风险,可能引发货币与资产市场的剧烈波动,甚至是金融危机。作者指出,历次危机的惨痛经历,不断强化着新兴经济体“自我保险”的动机。
时间节点一:亚洲金融危机的深刻教训。在此之前,衡量外汇储备的标准(即“储备适度性原则”)为“能够覆盖六个月的进口额”。然而,危机期间,这些储备并不足够,亚洲国家在固定汇率制度下,无力捍卫本币汇率,最终酿成经济灾难。这场危机使它们深刻认识到,在全球金融安排尚不完善、缺乏可靠外部救援的背景下,积累巨额外汇储备进行“自我保险”,是抵御外部冲击的唯一选择。此后,“储备适度性原则”变成了“与外债规模挂钩”,即“格林斯潘-吉多蒂规则(Greenspan-Guidotti Rule)”,[3]新兴市场开启大规模积累外汇储备。
时间节点二:2008年的全球金融危机打破了“格林斯潘-吉多蒂规则”。许多新兴市场的储备水平远超标准,却仍然在危机中经历了储备的快速消耗。这让它们认识到,重要的不仅是储备的绝对水平,更是其变动的方向和速度,储备一旦开始急剧下降,就可能引发市场恐慌,形成自我实现的危机。这最终导致了一种“越多越好”的新心态,促使各国在危机后继续疯狂积累储备。
时间节点三:后金融危机时期,美联储实行量化宽松(Quantitative Easing,QE),低利率环境下资本流出美国,涌入回报率更高的新兴市场。为了防止本币过快、过度升值而损害出口竞争力,这些国家被迫采取干预措施,从而被动地积累了更多外汇储备。这引发了所谓的“货币战争”或“竞争性不升值”。
理论上,应对流动性或债务危机存在一个全球金融安全网(Global Financial Safety Net),它包括四个层次的保障,即全球性的国际货币基金组织、区域金融安排、双边货币互换以及国家层面的自我保险。然而,作者分析认为,除自我保险外,前三道防线均不可靠。首先,央行间的货币互换额度充满选择性和政治考量,主要惠及与美国有紧密政经联系的发达经济体及少数系统重要性新兴市场。其次,区域性互换协议(如“清迈倡议”、“金砖国家应急储备安排”)面临着规模不足和成员间政治互信的挑战。再次,国际货币基金组织(IMF)不仅资源有限,其治理结构的缺陷也削弱了自身的公信力。在层层保障皆不可靠的情况下,“自我保险”最终成为了新兴国家唯一的选择。上述三个历史事件相互催化,新兴国家进行自我保险的动机被空前强化。
积累的外汇储备应该如何管理?首要原则是安全性和流动性,即平时能获取稳定收益,危机时能迅速变现以捍卫本国汇率。这些特征正是对“安全资产”(Safe Asset)的定义,即一种既能长期保值、又能随时变现,尤其是在危机时仍能保持其安全性和流动性、进而保值升值的资产。作者指出,美国国债市场凭借其卓越的信用等级、市场深度与流动性,成为了唯一能够大规模吸纳这些储蓄的市场。
(二)美债作为安全资产的唯一性
普拉萨德教授认为美债之所以能成为“安全资产”,有众多原因。[4]美国是世界第一大经济体当然是原因之一,但这一理由的说服力正随着全球格局的演变而减弱——新兴经济体在全球经济中的比重日益提升,而美国自身却已债台高筑。因此,普拉萨德指出,另外两大因素或许更为重要。
第一,在成书时为止(2013年),美国仍拥有强大而充满活力的制度,包括权力制衡机制、法治和独立的中央银行,这为美国政府履行还本付息义务提供了背书。首先,考虑到当时约43%的美国国债由本国投资者持有,美国利用高通胀蚕食应偿债务价值会受到民主程序的限制——国内投票集团亦不能容忍过高通胀。其次,美国完善的法律制度体系能为投资于美国公共部门的海外投资者(包括持有美国国债的外国央行等)提供正当程序和平等保护。最后,美国政府尊重美联储的独立地位,白宫和财政部不评论或公开寻求影响美联储政策制定。
第二,金融市场的深度。储备投资者追求的本质是流动性和安全性,而美债市场无可比拟的深度、广度和流动性,确保了其能被用作高质量抵押品或迅速变现。特别是在危机期间,市场对流动性与优质抵押品的需求激增,推动美债价格上行,形成“安全资产”的负β属性。美元资产的“避险”属性亦在历史上反复验证。芝加哥期权交易所市场波动性指数(Chicago Board Options Exchange Market Volatility Index,VIX)是反映全球市场风险度和投资者恐慌程度的通用指标。[5]包括2008年金融危机在内,每次VIX指数快速上升前后几个月内,资金总会大量涌入以美债为代表的美元资产,美元汇率也相应抬升(图表1)。
21世纪初以来,伴随着美国国内多轮财政扩张和金融全球化进程推进,美国政府预算赤字和经常账户赤字均加速增长。美债的供给持续扩张,成为全球安全资产的主要来源。那么,这种供给是否存在上限?
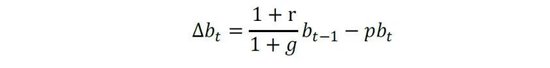
从理论上看,一国政府债务占GDP的比率(记为b)随时间演变的动态方程为:

其中,

是债务率的变化,r是利率,g是经济增速,

是政府的基础财政盈余率。
在长期稳态下,该方程可化为

,此处的

为稳态债务率,可视为“债务可持续的上限”。
由此可见,如果一国长期维持

的状况,那么即使存在一定的基础财政赤字,债务率也可能保持稳定甚至下降,从而实现债务的可持续性。作者认为,截至成书之时,美债的安全资产地位使得美国政府得以低成本融资(r),同时美国经济保持着年均2%-3%的稳健增长(g),正是基于

的条件,美国得以在维持基础财政赤字的同时,确保债务的可持续性,并持续向全球供给安全资产。(图表2)
图表1:美国联邦政府债务持有者结构

注:括号内为占联邦政府总债务百分比 资料来源:U.S. Treasury Bulletin, June 2013: Tables FD-1, OFS-1, OFS-2
图表2:美国经常账户余额及政府预算余额(1960-2025年)

资料来源:美国经济分析局
(三)TINA格局:替代性安全资产稀缺
除美债自身的流动性和安全性高以外,“美元陷阱”牢不可破的更深层次原因,在于“别无选择”(There is no alternative, TINA)。一国货币和主权债务之所以能够成为“安全资产”,根基在于稳健的经济基本面。在作者看来,许多发达经济体增长前景黯淡,其货币的储备地位也因此受到侵蚀。欧元虽曾被寄予厚望,但由于缺乏统一的财政联盟作为支撑,加之经济前景受限,其挑战美元主导地位的道路充满障碍。在此背景下,市场的目光自然转向了那些增长势头强劲、在全球经济中分量日增的新兴市场货币。其中,人民币凭借中国庞大的经济体量与持续的发展潜力,成为了各方关注的焦点。
1. 欧元
作者认为,欧元是美元在二战后面临的第一个、也是彼时为止最强大的竞争对手。欧元背后凝聚了整个欧元区国家的经济实力,这些国家的GDP总量当时与美国不相上下。然而,在欧债危机后,欧洲主权债券信誉动摇,作为安全资产的属性下降。普拉萨德将其根本原因归结于欧元区缺乏统一的财政权力,导致成员国财政纪律涣散,且没有有效的财政危机处理机制。这种制度性缺陷使得投资者面对一个分裂的市场:一边是德国国债等信用卓著但体量不足的“核心”资产,另一边则是规模可观但在危机时信用堪忧的“边缘”资产。
有人说,欧洲虽然缺乏“制度化的财政联盟”,但其“隐性的、临时性的财政联盟”模式,总能使其渡过难关。但笔者认为,这反而是问题所在,这种“临时拼凑的、不透明、无制度的财政联盟”模式不是解决、而是加剧了欧元的问题。正如John H. Cochrane等学者(2025)[6]所指出的,欧元区陷入了一种“危机循环”:从金融危机、主权债务危机到新冠疫情,每一次冲击都迫使欧洲央行(ECB)采取更强力、甚至突破常规的干预措施。这些干预虽解了燃眉之急,却强化了市场和成员国对于“最后救助者”的预期,滋生了道德风险,削弱了各国进行痛苦但必要的财政和结构性改革的动力。结果是,欧元区的基本面愈发脆弱,为下一次更大规模的危机埋下伏笔。
不过,财政联盟的问题虽然重要,但归根结底,欧洲最核心的问题是结构性增长停滞。即便完善财政架构,若增长停滞难解,欧元作为安全资产的供给能力仍受限。欧洲不仅错失了数字革命浪潮,与美国在科技领域的差距日益扩大,同时在人工智能、生物科技等驱动未来的新兴产业中也处于弱势。这种深层次的经济活力缺失,从根本上侵蚀了欧元的长期价值与信誉,使其难以对美元的地位构成实质性挑战。
2. 人民币
《美元陷阱》成书之际,中国已是世界第二大经济体,并成为全球经济增长的最大贡献者。在此背景下,人民币跻身主要国际货币之列似乎只是时间问题。然而,作者认为,当时探讨人民币的国际化前景为时尚早。其根本原因在于,人民币在制度建设与金融市场发展方面存在着结构性短板——而这正是上文中提及的、美元难以撼动的原因所在。
首先,作者提出,一种货币要成为国际储备货币,必须满足三大制度性先决条件:(1)广泛的国际使用;(2)资本账户基本可兑换;(3)自由浮动的汇率。若以此标准审视当时的人民币,确实任重而道远。
► 国际使用:通过多边及双边货币互换协议,人民币在贸易和投资中的使用已显著增加。
► 资本账户开放:中国的资本账户开放程度日益提高,但与主要储备货币经济体相比,其金融开放度仍然有限。
► 汇率灵活性:尽管已采取措施增强汇率弹性(如扩大每日波动区间),但在成书之时,人民币汇率仍受到较强的管理。
其次,在这些制度性条件之上,金融市场深度不足是人民币成为全球储备货币的“短板”。尽管中国经济体量优势显著,但其金融体系仍由国有银行主导,这在一定程度上抑制了金融市场的广度和深度。股市虽规模可观,但存在波动性过大、公司治理欠佳等问题。在诸多限制中,债券市场规模与流动性尤为关键。2012年,中国政府债务市场总值约1.2万亿美元,远低于美国(12.9万亿美元)和日本(11.2万亿美元)。[7]缺乏一个足够庞大且流动性强的国债市场,意味着中国尚无法向世界稳定地提供足量的“安全资产”。
因此,虽然作者看好人民币国际化的长期趋势,但他认为,唯有在制度建设和金融市场发展这两个方面取得突破,人民币才能真正成为国际储备货币,为全球提供安全资产。
二、“美元陷阱”的特点
新兴国家积累了大量的美元储备,却因此陷入了“美元陷阱”。和自然界的陷阱一样,“美元陷阱”有两个特点,一是自愿踏入,二是难以逃脱。因此,这个概念精准地刻画了新兴国家的处境:它们为追求出口导向增长或维护金融稳定(此为“诱饵”),选择积累大量美元储备(自愿踏入),最终却发现所持资产面临持续的减值风险,自身也被锁定在美元体系之中(难以逃脱)。
在陷阱中的新兴国家,如果继续持有美债,将面临损失。一方面,根据“巴拉萨-萨缪尔森效应”,新兴经济体更高的生产率增速会推高其长期实际汇率,带来新兴经济体货币对美元的持续升值,意味着以本币购买力计价的美元储备将出现亏损。作者以中国为例,认为仅以换算成本币购买力这一项,中国外汇储备在未来十年(即2013-2023年)就可能损失高达7000亿美元。
另一方面,美国的通货膨胀也会稀释美元资产的真实购买力。例如,为应对2008年金融危机,美联储采取量化宽松(QE)政策,当时普遍担心这会导致未来高通胀,引发了包括中国在内的主要债权国对其外汇储备安全的公开忧虑。尽管事后证明QE并未引起通胀,但在新冠疫情期间货币财政双重刺激下,美国通胀高企,据测算,2021-2022年间,美债外国持有人的实际购买力损失量级超5000亿美元。[8]
如果新兴国家想要跳出陷阱,直接大规模抛售美债,后果更具毁灭性。主要债权国的大规模抛售,将引发全球投资者的恐慌性抛售,导致美债价格暴跌。如此一来,该国手中尚未卖出的、规模更庞大的美元资产将急剧贬值,因此这种方式在现实中也几乎不可行。由此,新兴国家被牢牢锁在美元体系之中。[9]
笔者认为,新兴国家若要摆脱这一陷阱,或至少避免越陷越深,理论上存在三条路径:
► 主动放弃“饵肉”:新兴国家调整经济增长模式,降低对出口导向和汇率低估的依赖;或者让汇率更大幅度地浮动,发挥自动稳定器的作用,减少对“自我保险式”外汇储备的需求。
► 替代资产:即出现在深度和流动性上可与美元匹敌的安全资产,新兴国家多元化配置储备资产,降低对美元的风险敞口。
► “饵肉”自身变质:当美国自身的因素,如债务可持续性危机、高通胀或政治不稳定,导致美债自身失去吸引力时,陷阱不再诱人。但这是一种被迫式的解脱,且过程中已持有的资产可能遭受更惨重的损失。
然而,在作者成书的2013年,这些出路均难以实现。正如上文分析,历次金融危机强化了新兴国家对安全资产的需求,而全球尚无任何货币或资产能挑战美元的地位。凭借其经济、制度与金融的优势,美国仍是可靠的全球安全资产提供者。
尽管在当时看来美元陷阱牢不可破,但作者仍对未来表达了忧虑。普拉萨德教授指出,美债的利率可能发生突变,在不可预测的时刻突然跳升。为阐释这一风险,作者借鉴了物理学家Per Bak等人提出的“自组织临界性”(Self-Organized Criticality, SOC)理论。[10]
这一理论证明,一个复杂系统会自发地被诱导至临界状态,一旦达到临界状态,即便是最微小的变化也会带来意想不到的效应。以“沙堆”为例,以无序的方式向沙堆上撒沙子,当沙堆达到临界状态时,如果向沙堆上撒一粒沙子,既有可能不会带来任何后果,也有可能引发流沙效应,导致整个沙堆彻底坍塌。
该理论映射到美债问题上,意味着利率r的稳定或许只是表象,它可能是嬗变的。我们无从知晓,哪一粒“沙子”落下,会如2010年欧洲边缘国家那样,令

跳升到

并威胁到美债的可持续性。尽管如此,作者认为,在2013年,得益于三大支柱的支撑——全球对安全资产的刚性需求、美国稳健的基本面和可信的制度,以及“别无选择”(TINA)的格局——美债这座“沙堆”依然保持稳固。
三、“美元陷阱”的突破:当前的新变化
十二年之后,“美元陷阱”是否依然牢固?笔者2025年6月在上海与普拉萨德教授的对话,代表了两种不同的判断。普拉萨德认为,尽管有充分的理由让美元丧失主导地位,但不幸的现实是——目前尚无足够优秀的替代方案,因此这一转变难以实现。笔者则认为,TINA格局有望被打破,国际货币体系或已行至拐点。下文将围绕支撑“美元陷阱”的三大逻辑支柱,剖析这一转变的成因。
(一)新兴国家金融稳健性增强 停止积累外汇储备
《美元陷阱》成书于2013年,但自2015年起,随着新兴市场发展模式转变、金融稳健性与汇率弹性提升,全球外汇储备增速已显著放缓(图表3)。
以中国为例,2015年“8·11”汇改后,人民币汇率弹性增强,双向波动常态化,这使得依赖庞大外储进行“自我保险”的必要性下降。同时,中国经济逐渐转向以国内大循环为主体的“双循环”新发展格局,增长动力更多源于内需,这进一步削弱了干预汇率、积累外汇的必要性。
图表3:全球外汇储备及美元占比(2000-2025年)

注:截至2025年3月
资料来源:IMF,中金公司研究部
(二)美债“安全资产”属性动摇
笔者与普拉萨德教授的共识在于,由于美国的经济基本面、公共制度及金融市场均已出现裂痕,美债作为全球安全资产的信誉正在动摇。
从基本面看,特朗普政府的政策组合,短期内加剧不确定性;长期则可能带来供应链效率下降、投资信心受损及贸易伙伴反制,损害美国经济的竞争力。必须承认,以AI为代表的新技术革命也将在某种程度上左右美元的命运。
从公共制度来看,美国财政纪律持续弱化,目前美债占GDP的比重已经超过120%。一个常见的困惑是,日本债务占比高达200%,为什么反而是美国的状况更引人担忧?事实上,债务是否可持续不仅在于绝对比例的高低,也在于“财政是否负责”。而美国的财政纪律正日益松弛——无论是拜登政府还是特朗普政府,都倾向于无视债务率而继续增加赤字,持续透支其“安全资产”的信用。今年5月美国国债利率的上升,正是发生在众议院审议一项债务上限法案草案的过程中。这代表市场意识到共和党并未如竞选时所宣传的那样推动财政紧缩,反而继续累积赤字,从而加剧了市场对债务发散的担忧。
从金融市场来看,美国滥用了“安全资产”的优势。2022年冻结俄罗斯央行数千亿美元储备,是将美元武器化的危险先例。特朗普政府更有意通过强制置换长债、对外国投资者征收歧视性税率等方式“套牢”投资者。这些言论,连同对美联储独立性的攻击和对弱势美元的鼓吹,虽未完全实施,却已系统性地侵蚀了市场对美元及美债的稳定预期。
彼得森国际经济研究所(PIIE)所长亚当·珀森(Adam Posen)用一个“保险”类比来描述美国在二战后的全球角色。根据这个类比,美国通过提供全球秩序、贸易规则和美元资产等公共品,实质上为世界提供了一份“保险”。作为“保费”,美国获得了规则制定权和相应的经济利益,而“投保”的国家则得以在相对稳定的环境下发展经济。然而,这一模式在特朗普政府时期发生了根本性转变。珀森认为,美国的角色从“保险公司”变为“保护费收取者”。其关键区别在于:“保险公司”旨在保护客户免受外部风险,而“保护费收取者”则迫使客户付一个更高的费用,以规避来自美国自身的威胁。[11]
金融数据已经佐证了这一趋势,美债的安全溢价显著下行、流动性有所减弱、与风险资产收益率相关性增加。[12]这些迹象似乎表明,美债的“沙堆”已经脆弱,一粒随机洒下的“沙子”就可能带来利率的跳升,威胁美债的可持续性。
笔者认为,当“终极买家”缺位、美债的可持续性遭受挑战时,结果并非利率飙升或价格崩盘。更可能出现的情景是:为避免系统性崩溃,美联储将被迫放弃独立性,充当最后的接盘者,而这一举动将把美国经济拖入“滞胀”。由于美债的系统重要性地位,其崩盘对美国乃至全球金融稳定都是不可承受之重。一旦“终极买家”缺位,即使通胀高企,美联储也只能下场购债稳定市场。但这种干预会严重损害其货币政策的独立性,推高通胀预期,导致长端利率居高不下,扼杀经济增长动力,美国经济可能陷入高通胀、高利率、低增长的“滞胀”泥潭。
(三)TINA格局有望被打破
普拉萨德教授认为,虽然美债的安全性下降,但从金融市场的深度与流动性来看,尚未出现替代者,因此全球很难摆脱“美元陷阱”。他分析道,寻找规模庞大、非常流动且非常安全的资产——指以数十亿或数百亿美元的规模来考虑——仍然困难。欧元区内部问题重重,分裂欧元区的力量依然存在。即便只看欧元区最安全的部分,如德国和荷兰,也并未展现出强劲的经济活力。日元作为储备货币的份额在过去十多年间急剧下降。尽管市场动荡时仍被视为避险选项,但其黯淡的经济前景与高企的政府债务,使其难以成为可靠的储备选择。欧元之外,对美元的替代选择包括人民币、黄金乃至比特币,下文将逐一分析。
1. 人民币
就人民币而言,普拉萨德教授承认2025年的中国拥有深厚的金融市场和强劲的经济活力,并在经济规模上迅速追赶美国。但他认为,金融市场及相关制度尚未改革到位,对其能否赢得全球投资者的充分信任持保留态度。笔者基本赞同普拉萨德教授对现有格局的精准判断,但对人民币持有更加积极的态度。
诚然,人民币的国际化之路并非坦途。经过多年发展,人民币的国际使用虽有明显提高。2024年,人民币在全球环球银行金融电信协会(Swift)贸易融资报文中的占比已达6%,与欧元水平相当。[13]在提供全球安全资产方面,人民币仍存在明显短板。尽管中国拥有全球第二大债券市场,但其国际化水平与自身的经济体量尚不匹配。截至2025年,外资持有的中国国债规模为2808亿美元,仅占市场总量的5.9%。相比之下,同期外资持有的美国国债规模高达9.13万亿美元,占比31.5%;而外资持有日本国债的规模也达到9378亿美元,占比11.6%。[14]
然而,中国的经济基本面更加稳健,这为人民币资产成为全球安全资产提供了基础。中国制造业在全球占比超过30%,并正加速向高附加值领域转型升级。在人工智能(如DeepSeek大模型)、生物医药(创新药出海)等前沿领域的突破,正重塑国际社会对“中国制造”乃至中国经济创新能力的认知。
当下,美元体系的松动带来了难得的外部机遇,而中国强大的实体经济、稳健的国家资产负债表则构成了坚实的内部支撑,人民币国际化在价值储藏和交易融资功能上都有着历史性的机遇。
从价值储藏功能来看,增发国债扩大财政支出,既能有效刺激国内经济,又能向全球市场供给高质量的人民币安全资产,一举两得。从交易融资功能来看,全球经贸体系的重构为非美货币结算创造了空间;中国强大的实体经济则增强了其在贸易中的计价权;中国企业的全球化布局又创造了丰富的跨境应用场景;而中国从高息国向低息国的转变,更为人民币成为国际融资货币开辟了新维度。储备货币的各项职能相辅相成,交易融资功能的提升,也将创造对人民币资产的需求,进而巩固其价值储藏功能。
2. 黄金
作为传统的储备资产,黄金始终在全球央行的资产配置中占据一席之地。长期以来,市场对黄金的定价存在一个基本共识,持有黄金的机会成本是实际利率,因此黄金和美债实际利率走势长期具有非常强的负向关系。但自2022年开始,黄金定价规律发生变化:实际利率上行,黄金反而逆势上涨,即黄金价格与美债实际利率“脱锚”。
笔者认为,黄金与实际利率的背离,本质上是不同国家对美元储备货币地位的分歧,这反映了国际货币体系的分裂。在全球化时代,各国通过国际贸易实现合作共赢,美元是各国认可的储备货币。疫情和俄乌冲突之后,经济国家主义的兴起加速了全球货币体系的分裂。信任美元的国家仍然选择美元,不信任美元的国家转而寻求黄金作为替代品,形成了“One gold,two world”的格局。根据欧央行的年度报告,2024年,各国央行购买了超过1000吨黄金,是前十年年均购买量的两倍。各国央行目前全球黄金持有量为36000吨,接近1965年布雷顿森林时代达到的38000吨的历史峰值。[15]
2025年以来,对美元的信任危机进一步加剧,黄金的替代效应更加显著。Crescat Capital的宏观策略师塔维·科斯塔(Tavi Costa)基于彭博数据的分析指出,截至2025年8月29日,全球各国央行持有的黄金储备总值已超过其持有的美国国债,这是自1996年以来的首次。科斯塔在接受Kitco News采访时强调,这标志着“现代史上最重要的全球再平衡”已经拉开序幕。当前,新兴市场国家是增持黄金的主力,展望未来,倘若美元的贬值趋势持续,各国央行或将被迫进一步加大黄金的购买力度。[16]
3. 比特币
比特币与黄金同样具有“非垄断、稀缺、不可仿冒”的特性,因此常被视为“数字黄金”。[17]比特币当前的流通量约1986万枚,已接近供应上限的95%,稀缺性甚至高于黄金。[18]2022年起,比特币和黄金的正相关性提升,或表明其被赋予了类似黄金的资产属性。
从比特币的官方持有来看,美国于2025年3月设立“战略比特币储备”(Strategic Bitcoin Reserve),将执法没收的比特币纳入政府管理。截至2025年7月,美国政府持有约19.8万枚比特币,但这些资产由财政部持有,并未计入央行储备。[19]
关于比特币能否进入央行储备,目前争议较大。虽然有观点认为其价格波动过大,难以承担传统安全资产的稳定功能,但相关的探索已经出现。2025年1月,捷克国家银行行长阿莱斯·米歇尔建议将最高5%的外汇储备配置于比特币,但目前尚无官方决定。[20]阿根廷、巴西、中国香港、日本等国也出现了建议央行持有比特币的提案,日本政府养老投资基金也宣布会研究配置比特币的可能性。[21]
值得讨论的是,“数字黄金”比特币与黄金的根本区别是什么?一种观点认为,区别在于其内在价值:黄金拥有首饰、工业等实际用途,而比特币几乎没有物理功用。然而,这一论点并未触及问题的核心。事实上,黄金的实用价值远不足以支撑其庞大的市值,这意味着无论是黄金还是比特币,其绝大部分价值都源于社会共识。
另一些观点则试图从市场表现和监管态度上区分二者。例如,黄金价格走势稳健,是传统的避险资产;比特币则以剧烈波动著称。在监管层面,黄金被全球央行普遍接纳为储备资产;而比特币则面临巨大的不确定性。然而,这些差异仅仅是表象,而非根本原因。
笔者认为,两者真正的差别,在于共识的稳定与广泛程度不同。正是共识的差别,带来了市场表现和监管态度等方面的差异。正如弗洛伊德所说,“人们对黄金的执迷源自年幼时的梦幻(Our fascination with gold is related to the fantasies of early childhood)”,黄金的共识跨越了无数文明、帝国和货币体系,具有极高的稳定性。相比之下,比特币的历史仅有十余年。它所代表的是一种基于数学和密码学的新型共识。这种共识虽然在特定人群中极为牢固,但其广度和深度仍有待于跨文化、长周期的检验。
因此,作为价值储存工具,比特币与黄金的本质并无二致——它们都是社会共识的产物。这说明比特币具有成为安全资产的潜力。然而,要真正拥有安全资产应有的价值稳定性,比特币的共识尚显薄弱,仍需时间的检验与沉淀。
四、结语:国际货币体系的转折点
若我们将视角拓宽至整个国际货币体系,“美元陷阱”的本质将更为清晰。国际货币体系的各个现象,“美元陷阱”、“美元霸权”、“奔向安全(Flight to Safety)”,都与美债作为无可比拟的安全资产地位有关。对于持有国而言,这是无法摆脱的困境。平常时期,新兴国家长期买入并持有美债,陷入“美元陷阱”;危机时期,全球资本恐慌性涌入美债避险,再次验证其美债的安全性。对于发行国美国而言,这是不对称的霸权。无论是新兴国家的长期储备,还是全球危机中的避险资金,都使得美国能以极低利率融资,享受超额铸币税,甚至在危机中能够拥有其他国家难以企及的逆周期财政空间。
因此,“美元陷阱”及相关现象,其实揭示了以一国主权货币充当国际储备货币所固有的不对称、不协调、不充分的矛盾。随着美国将美元“武器化”,愈发频繁地利用其储备货币地位服务于自身利益,这些矛盾日益突出,并从内部侵蚀着美元体系的根基。
在《美元陷阱》成书之时,普拉萨德教授指出,虽然美元作为全世界首要国际贸易计价和结算货币的地位正在被弱化,但作为价值储藏手段的功能依旧牢不可破,并称价值储藏是“美国留守世界舞台的救命稻草”。
然而,当前形势表明,美元最后的价值储藏功能也正在动摇。这不仅意味着“美元陷阱”可能被突破,更预示国际货币体系的重大转型。如果人民币能够抓住机遇、稳步提升作为国际储备货币的地位,全球货币和金融体系或许能够迈向一个更加均衡和多元化的格局。
313啦实用网






