登录新浪财经APP 搜索【信披】查看更多考评等级
炒股就看金麒麟分析师研报,权威,专业,及时,全面,助您挖掘潜力主题机会!
2025
来源:固收彬法 作者:孙彬彬/隋修平/郑艺鹏(联系人)
重要提示
本微信号推送的内容仅面向财通证券客户中符合《证券期货投资者适当性管理办法》规定的专业投资者。本微信号建设受限于难以设置访问权限,为避免不当使用所载内容可能带来的风险,若您并非专业投资者,请勿订阅、转载或使用本微信号的信息。
摘 要
常见的套利组合如TS*2-TF、TS*4-T、TF*2-T、T*3-TL往往与对应的现券期限利差走势有一定偏离,这种偏离主要源于组合没有实现久期中性,从而没有实现对利率风险的免疫。
因此,在采用上述套利组合对期限利差进行跟踪时,需要考虑利率波动对组合价值的影响,较为理想的参与方式是同时获得期限利差和单边波动的潜在收益。
同时,净基差也可能对套利组合的短期表现形成重要影响,构建套利组合时应该考虑组合整体净基差水平,净基差偏低时构建多头组合可以规避净基差下行的风险,而拉长时间来看,由于净基差整体在0附近波动,对组合价值的趋势性影响有限。
计算可得,当前TF*2-T的久期缺口显著为负,TS*2-TF、T*3-TL的久期缺口显著为正,TS*4-T的缺口较小。因此,如果预期未来利率下行,可以关注7Y-5Y期限利差收窄或5Y-2Y、30Y-7Y期限利差走扩的机会;如果预期后续利率上行,可以关注5Y-2Y、30Y-7Y期限利差收窄或7Y-5Y期限利差走扩的机会。即TS*2-TF和T*3-TL适合交易熊陡/牛平,TF*2-T适合交易熊平/牛陡。








报告核心图表(点击可查看大图,完整图表详见正文)
风险提示:数据统计或有遗漏,宏观经济超预期,海外风险事件超预期。

报告目录

01
跨品种套利的一般化分析
通过对多品种的头寸进行组合,可以实现对利率曲线形态的交易。如通过TS*2-TF、TS*4-T、TF*2-T、T*3-TL等套利组合表达对期限利差的观点。
但跨品种套利组合和现券期限利差走势可能出现分化,如TS*2-TF组合走势明显弱于5Y-2Y利差、期限利差区间震荡的同时组合价值不断下跌,TS*4-T也在2024年以来偏弱,而TF*2-T、T*3-TL偏强。


套利组合走势与现券期限利差的分化会导致套利有效性下降。期货套利组合与期限利差的走势为什么出现分化?
构建a份A合约多单与b份B合约空单的组合,忽略基差变动,通过久期对合约价值变动进行近似:

其中D为对应合约CTD的修正久期,Y为CTD收益率,A、B分别为CTD价格。如果组合实现了久期中性,即a×D(A)×A=b×D(B)×B,那么:

此时该组合可以对期限利差进行跟踪, △Y(B)-△Y(A)即为两个合约CTD券对应的期限利差,组合价值与期限利差成比例,系数为a×D(A)×A。
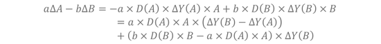
但组合实现久期中性的假设通常并不成立,更一般地:

由于组合没有实现久期中性,利率风险仍然影响组合价值,新出现的一项(b×D(B)×B-a×D(A)×A)×△Y(B)体现了久期缺口对组合价值的影响。

常见的套利组合在跟踪哪些期限利差?
通过上述分析,套利组合跟踪对应合约CTD券的期限利差,因此需要关注CTD券的剩余期限。各个期限国债期货对应CTD的剩余期限均在近年有所下降,其中10年国债期货主力合约对应CTD剩余期限从2023年开始下降至7年以下,因此相关组合跟踪的期限利差可能有所变化。T合约对应的CTD利率从10Y逐渐移动到7Y。



久期缺口与收益率变动叠加即得到利率风险对组合的影响。
TF*2-T久期缺口长期为负,利率下行会对组合价值形成正向影响,因此TF*2-T表现强于10Y-5Y,在期限利差区间波动的同时,TF*2-T的组合价值不断走高。而TS*2-TF的久期缺口为正,利率下行导致组合价值受到损失,因此在5Y-2Y期限利差区间波动的过程中,组合价值不断走低。
净基差的影响有多大?
在前文推导过程中,我们忽略了净基差的影响。如果考虑净基差的变化,对于a份A合约多头与b份B合约空头的组合,净基差变动对组合价值产生的影响为:
净基差导致的组合价值变动=b*B净基差变动-a*A净基差变动
从历史表现来看,净基差对组合价值的影响处在±1元范围以内,近年以来净基差波动降低,对组合价值的影响也整体收敛,基本处在±0.5元范围以内。

对比组合价值来看,净基差波动可能在短期内对组合价值形成较大影响,因此参与套利时还需要对净基差进行择时,在组合净基差处于低位时参与多头可以规避净基差收窄的风险。
而拉长时间来看,由于净基差在0附近波动,对组合价值的趋势影响有限。


02
进行曲线形态套利需要注意什么?
通过上述分析,常见的跨品种套利组合包含了两部分,一部分是对期限利差波动的模拟,另一部分是久期缺口导致的单边波动,而后者是导致套利组合与期限利差走势分化的主要原因。
因此,通过跨品种组合进行曲线形态套利时,除了考虑当前期限利差的位置,还需要注意久期缺口和后续利率波动的方向:如果预期后续利率下行,则做多负久期缺口组合或做空正久期缺口组合更优,即关注7Y-5Y期限利差收窄或5Y-2Y、30Y-7Y期限利差走扩的机会;反之,如果预期后续利率上行,则做多正久期缺口组合或做空负久期缺口组合更优,即关注5Y-2Y、30Y-7Y期限利差收窄或7Y-5Y期限利差走扩的机会。
这也解释了TS*2-TF组合持续偏弱,TF*2-T偏强的现象。在利率下行的背景下,考虑利率风险的暴露,TS*2-TF、T*3-TL适合做空,TF*2-T更适合做多。
因此,不同组合适合用来表达对曲线形态的不同观点,如TS*2-TF和T*3-TL适合交易熊陡/牛平,TF*2-T适合交易熊平/牛陡,而TS*4-T的久期缺口较小,可以对7Y-2Y期限利差进行较准确的交易。

同时,由于国债期货CTD的变化,久期也可能相应变化,导致套利组合的久期缺口方向发生变化。
观察国债期货主力合约的修正久期,2023年以来普遍回落至低位,这与市场利率整体下行并远离3%有关。当市场利率高于3%时,长久期债券价格下跌更快,更容易成为CTD,市场利率低于3%时,短久期债券容易成为CTD。考虑到短期内市场利率大幅度上行靠近3%的可能性较低,各品种CTD久期大概率维持偏低水平,套利组合的久期缺口变化有限。


蝶式套利组合同样存在类似前述套利组合的问题,以2*TS-3*TF+T为例,由于组合有正向的久期缺口,在利率下行的背景下,组合价值表现持续弱于10Y-2Y期限利差。

整体来看,常见的曲线形态套利组合往往因为组合自身久期缺口导致无法实现对利率风险的免疫,因此在对曲线的陡峭程度进行交易时需要综合考虑后续的利率方向。
为解决这一问题,对曲线形态进行交易时,可以考虑自行构建久期中性/基点价值中性的头寸组合,但由于期货价格和CTD的变化,要严格保持对利率风险的免疫则需要频繁调整头寸比例,在实操上可能有一定难度。
风险提示
1、数据统计或有遗漏:由于数据收集的局限性、统计方法的差异、信息披露的不完整性或更新延迟,可能导致部分分析结果存在偏差。
2、宏观经济表现超预期:宏观经济环境和财政政策是影响债券市场的关键因素。如果宏观环境出现超预期的变化,如经济增长放缓、通货膨胀率波动等,可能会对债券市场表现形成冲击。
3、海外风险事件超预期:若出现海外风险事件,可能会对债券市场形成短期冲击。
END
证券研究报告:《期货|如何参与曲线形态套利?》
对外发布时间:2025年9月23日
报告发布机构:财通证券股份有限公司(已获中国证监会许可的证券投资咨询业务资格)
本报告分析师:
孙彬彬 SAC 执业证书编号:S0160525020001
隋修平 SAC 执业证书编号:S0160525020003
313啦实用网






